Awards Nomination 20+ Million Readerbase
Indexed In
  • Academic Journals Database
  • Open J Gate
  • Genamics JournalSeek
  • Academic Keys
  • JournalTOCs
  • China National Knowledge Infrastructure (CNKI)
  • CiteFactor
  • Scimago
  • Ulrich's Periodicals Directory
  • Electronic Journals Library
  • RefSeek
  • Hamdard University
  • EBSCO A-Z
  • OCLC- WorldCat
  • SWB online catalog
  • Virtual Library of Biology (vifabio)
  • Publons
  • MIAR
  • University Grants Commission
  • Geneva Foundation for Medical Education and Research
  • Euro Pub
  • Google Scholar
Share This Page
Journal Flyer
Journal of Bioequivalence & Bioavailability

Research Article - (2015) Volume 7, Issue 1

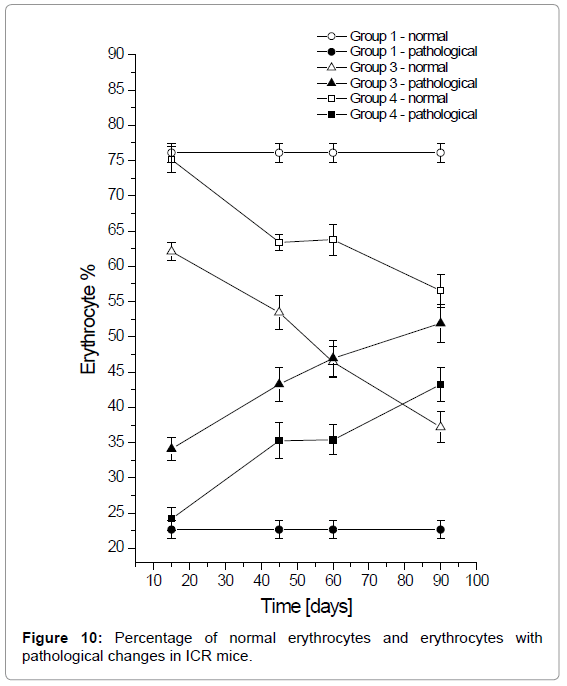
Zeolites versus Lead Toxicity

Beltcheva M1*, Metcheva R1, Topashka-Ancheva M1, Popov N3, Teodorova S2, Heredia-Rojas JA4, Rodríguez-de La Fuente AO4 and Rodríguez-Flores LE5
1Institute of Biodiversity and Ecosystem Research, Bulgarian Academy of Sciences, 1, Tzar Osvoboditel Blvd., 1000 Sofia, Bulgaria
2Institute for Nuclear Research and Nuclear Energy, Bulgarian Academy of Sciences, 72, Tzarigradsko shaussee Blvd., 1784 Sofia, Bulgaria
3Mineralagro LTD, 53, Cherni vrah Blvd., 1407 Sofia, Bulgaria
4Departamento de Ciencias Exactas y Desarrollo Humano, Facultad de Ciencias Biológicas, Universidad Autónoma de Nuevo León, Av. Pedro de Alba y Manuel L. Barragán s/n Cd. Universitaria, C.P. 66451, San Nicolás de los Garza, Nuevo León, México
5Departamento de Patología, Facultad de Medicina, Universidad Autónoma de Nuevo León, Av. Francisco I. Madero pte. s/n y Av Gonzalitos, Col. Mitras Centro. C.P. 66460, Monterrey, Nuevo León, México
*Corresponding Author: