Research Article - (2023) Volume 11, Issue 1
Received: 27-Dec-2022, Manuscript No. JVMS-22-19466; Editor assigned: 30-Dec-2022, Pre QC No. JVMS-22-19466 (PQ); Reviewed: 20-Jan-2023, QC No. JVMS-22-19466; Revised: 27-Jan-2023, Manuscript No. JVMS-22-19466 (R); Published: 03-Feb-2023, DOI: 10.35248/2329-6925.23.11.497
In recent years, many compression socks have been marketed with the purpose of improving swelling and leg shaping. They either apply uniform pressure to the entire lower leg or apply pressure in stages starting from the foot. Both types attempt to apply pressure to the entire circumference of the leg at the same pressure. These are strongly woven to apply pressure, making them difficult to wear and often causing a feeling of tightness. Therefore, new partly- compression socks were devised to apply pressure selectively to the upper part of the gastrocnemius muscle (the back of the lower leg) rather than uniformly around the entire leg.
In this research, three measurement experiments were conducted using fully-compression socks, partly-compression socks, and normal socks: actual pressure measurement, measurement of circumference and volume change in the morning and afternoon, and subjective Kansei evaluation were applied in this research.
Experiment 1: The pressure exerted by a sock was measured using an air pressure sensor with our originally developed pressure measurement device. A mannequin was fitted with socks, and the actual pressure was measured.
The normal socks had lower pressure below the knee, and the partial and full compression socks had higher pressure below the knee. On the anterior surface of the upper gastrocnemius (58% of the area from the external capsule to the lower patella), the partial and full compression socks had the same pressure, with the normal sock having the lowest pressure. On the posterior surface, the partly-compression sock had the highest pressure. Partly-compression socks have the pressure at the back about 1.4 times higher than that at the front. Compared to the full-compression socks, the ankle pressure of the partial-compression socks was smaller.
Experiment 2: With three types of socks, volume and circumference changes of the lower leg were measured in the morning (8:00-9:00) and in the evening (17:00-18:00) during the working day. Volume difference in the daytime has significantly differed between the socks. There was a significant difference between normal and partly-compression.
The change amount in circumference was measured at 3 locations on the lower leg; maximum circumference of the lower leg measured in the sagittal plane, circumference at the maximum diameter of the lower leg in the sagittal plane (73% of the distance from the lateral malleolus to the lower patella), the height at which the change in swelling was greatest (58% level). At all locations, circumference difference amounts along the time are significantly different between the three socks. Partly-compression has the smallest difference, then full-compression and normal socks. There is a significant difference between normal and partial compression at all height levels.
Experiment 3: Kansei Evaluation on socks. Both Partly-compression socks and Fully-compression socks in the morning are associated with “squeezing”, “slenderize leg”, “feel get into shape”, “fits”, “feeling good for blood circulation,” and “lighter leg”. Full-compression socks are not varied for morning to evening duration.It seems to keep participants aware of compression.
Partly-compression socks in the evening moved close to not “cold” and “warm”. Partly-compression socks tend to make participants unaware of compression and body-worn feeling during the day time.
Conclusion: In conclusion, partly-compression socks have the best performance on both volume and circumference change amount and are also good at Kansei evaluation on comfort.
Leg swelling; Compression socks; Daytime difference; Volume measurement; Circumference measurement; Kansei engineering
Compression therapy of limbs seems to have been practiced from 450 BC to 350 BC [1-3]. Compression socks were later developed by a German engineer, Conard Jobst (1889-1957), who himself suffered from swelling and pain due to venous cancer and a car accident. His idea for venous pressure gradient stockings came from the fact that the pain was reduced by the water pressure when he was in the pool [4,5]. Currently, it is widely used not only in the medical field but also in the fields of sports and health. Compression therapy utilizes elastic and non-elastic bandages, boots, hosiery or stockings, and pneumatic devices, which are essential for venous disorders involving edema of the legs. Compression socks or stockings are used due to comparative ease of acceptance and application [6-8].
In medical treatment, compression socks are used for Deep Vein Thrombosis (DVT) prevention [6,9,10] . It is also used casually for the physiological phenomenon of swelling [11]. Swelling is caused by the extravasation of fluid from the veins due to the gravitational pull that steadily increases venous pressure [12]. Patients with lower extremity edema have poor interstitial fluid return, and it would involve the calf muscle pump [13]. Compression socks exert external pressure on the skin of the lower leg and the tissues immediately below the site. The compression on the lower leg is said to improve venous hypertension, enhance calf muscle pump function, and then promote venous return [9,14].
There seem to be no standards for pressure amount by compression socks, nor leg parts to be pressurized. Also physical properties on materials (i.e., elasticity, stiffness, shape, size), patient’s activities should be carefully accounted [8]. These factors are not well explored. Poorly selected compression socks easily cause discomfort and in a few cases it causes some health issues (i.e. worsening of ischemia) [8].
Comfortness is indispensable. We also applied Kansei engineering methods. The Japanese word Kansei has the meaning of sensitivity, feeling, and some emotion. Kansei engineering was coined and established by Prof. Nagamachi in the early 1970s. Kansei Engineering is defined as “a translation system for images or feelings into real design components”. Kansei Engineering is a collection of various methodologies of measurements and analysis of Kansei, translating analyzed results into detailed product design [15-20].
In this study, three experiments were conducted using three types of socks: full compression socks, partly compression socks, and normal socks. All socks are produced from Knitido Ltd, Japan. At first, pressures by three different socks (Fully compression/partly compression/Normal socks) are measured by originally developed pressure measures. Second, the volume and circumference of the lower extremity are measured by a tape measure, and changes with level are measured by a tape measure, which cannot be determined by water displacement [21]. Finally, the subjective impressions of the socks were analyzed in detail using a Kansei evaluation for exploring comfortness (Figure 1).
Figure 1: Left to right: Partly compression socks, fully compression socks and normal socks. Darker area corresponds to higher compression. All socks are produced by Knitido Ltd.
Experiment 1 (Socks pressure measurements with air pressure sensor)
We have developed an air pressure-based pressure measurement device for this research. Since a general-purpose low-price thin pressure-sensitive sensor cannot stably measure the pressure of a sock, we tried to air pressure with a small airbag (Polyethylene, Diameter: 310 mm, height: 120 mm). The system contains a microcomputer board Arduino MEGA, a barometric pressure sensor (MPX5700DP, Freescale Semiconductor Inc.), an analog mechanical barometer, a tube, and a pump. An Analog barometer was used to calibrate the pressure sensor value with real air pressure.
The pressure applied by the compression socks was measured using a lower leg of a stiff mannequin leg and an airbag. Pressure measurement points are at Cuff (3.5 cm from the top), Rib (58% of the distance from the lateral malleolus to the inferior edge of the patella, Kawano et al.), and Ankle. Both at the front and back sides, the pressure was measured. Thus, one pair of socks has six measurement points. Measurements were done three times at a measurement point. Averaged values of the pressure were used (Figure 2).
Figure 2: Developed socks pressure measurement device: Sensor calibration (upper left), Air bag attached for measurement (upper right) and the airbag (lower right)
Experiment 2 (Measurement of swelling prevention with fully/partly-compression/normal socks)
Experiment 2 measured swelling prevention effects with Fully- compression, Partly-compression, and Normal socks.
Subjects: Thirty females (average age was 33.40 ± 10.26 years old) who have no illness in the lower limb. They are not paid. Experiments were held from November 2017 to November 2018 at the Rehabilitation department at Hiroshima International University.
Evaluation samples: same as experiment 1; 1. Normal socks, 2. Fully-compression socks, and 3. Partly-compression socks (Table 1).
| Mean | Standard deviation | Median | |
|---|---|---|---|
| Number of participants | 30 (all female) | ||
| Age (year) | 33.2 | ± 10.38 | 34.5 |
| Height (cm) | 157.3 | ± 6.69 | 156 |
| Weight (kg) | 53.63 | ± 8.98 | 51.5 |
| BMI (kg/m2) | 21.69 | ± 3.52 | 20.44 |
| Foot size (cm) | 23.72 | ± 0.87 | 23.5 |
Table 1: Participants characteristics.
Apparatus and measurement methods: Measurements were done on both morning (08:00-09:00) and evening (17:00-18:00). Volume and circumference of the lower leg were measured. A rectangular acrylic tank (inside dimension: 45 cm height, 15 cm width, and 30 cm depth) and a metal ruler were used for volume measurement of the participant’s lower leg. A tape measure was used for the circumference of the lower leg. The water displacement method was used for volume measurement. Initially, ⅔ of the acrylic tank was filled with 37˚C water. Drops of the neutral detergent were added to the warm water to avoid surface tension.
A participant asked to place her lower leg into the tank. The tank was filled to full. Then, a participant was asked to slowly pull the leg out of the tank and hold the leg for 5 seconds above the tank to drop water off the surface of the leg. Then, the height of the water from the bottom of the tank was measured with a metal ruler. For example, if the morning measurement was 38.5 cm height of the water and the evening height was 38.2 cm, then the volume difference is 0.3 cm × 15 cm × 30 cm= +135 cm3.
Circumferences were measured at three leg points. The first point is the maximum circumference of the lower leg from the sagittal plane. The second point is the 73% of distance from the lateral malleolus to the inferior edge of the patella. That point is commonly regarded as roughly the largest circumference. The third point is the 58% of distance from the lateral malleolus to the inferior edge of the patella, which is regarded as the largest swollen part (Kawano et al.). To keep measurement points in morning and evening, points were marked on the lower leg. Differences of circumferences (evening-morning) are the measured swollenness during the day (Figure 3).
Figure 3: Measurement of lower leg volume and circumference reference heights.
Experiment 3 (Kansei evaluation on fully-compressed, patly-compressed and normal socks)
In experiment 3, we have a Kansei engineering evaluation experiment on socks.
Subjects: Eighteen females (average age was 34.1) who have no illness in the lower limb. They are not paid. Evaluation dates are from 1st to 10th November 2018 at Hiroshima International University.
Evaluation samples: same as experiment 1; 1. Normal socks, 2. Fully-compression socks, and 3. Partly-compression socks.
Procedure: Kansei words are chosen from the collection of socks explanation documents in the market. Words related to the feeling of pressure, leg swelling and the comfort of socks are chosen. Participants were asked four times; in the morning before wearing socks (a short questionnaire), just after wearing socks (a long questionnaire), in the evening (a long questionnaire), and after wearing off the socks (a short questionnaire). In the analysis below, we have used two long questionnaires, those filled just after wearing the socks in the morning and in the evening before wearing off the socks.
Principal component analysis was done with JMP v.17 (SAS Inc.). The biplot shows the principal component loadings of Kansei words and principal component scores of morning/evening evaluation of the Fully/Partly compression/Normal socks.
Experiment 1 results
At the cuff (3.5 cm from the top), Normal socks have lower pressure than both partly-compression and fully-compression.The back side is higher than the front side.
At the rib (58% height) front, partly and fully-compression socks have the same pressure value. Normal has lower pressure. At the rib back, partly-compression has the largest pressure, 1.4 times larger than its front pressure.All socks have larger pressure at the back than the front.
At the ankle front, partly and fully-compression socks are similar and normal have smaller pressure.Differences between socks at the ankle and back are relatively smaller (Table 2).
|
|
; |
|
|
|---|---|---|---|---|
![]() |
Front | 4.6 | 5.1 | 3.3 |
| Back | 6.3 | 6 | 5.1 | |
![]() |
Front | 7.1 | 7.1 | 4.3 |
| Back | 9.9 | 8.4 | 6.6 | |
![]() |
Front | 7.3 | 7.6 | 3.5 |
| Back | 5.3 | 5.8 | 5.1 | |
Table 2: Socks pressure measurements at front and back side.
Experiment 2 analysis and results
Volume difference in a day: Multilevel modeling was used for analysis. We used an expanded model of one-way Analysis Of Variance (ANOVA) of socks variation as a fixed effect, and subjects as random effects. Thus, the statistical model is shown in below line. ai is a fixed effect for socks i,bj is a random effect for subject.

Multilevel modeling shows significant differences between socks (F(2, 58.98)=6.301, p=0.003). Volume differences in the day were Normal> Full-compression>Partly-compression. Partly-compression socks show the smallest volume change from morning to evening. The estimated regression parameter ai has a significiant difference (p<0.05) between Normal>Partly-comp. The difference between Full-comp and Partly-comp was not significant (Figure 4).
Figure 4: Difference of volume (cm3).
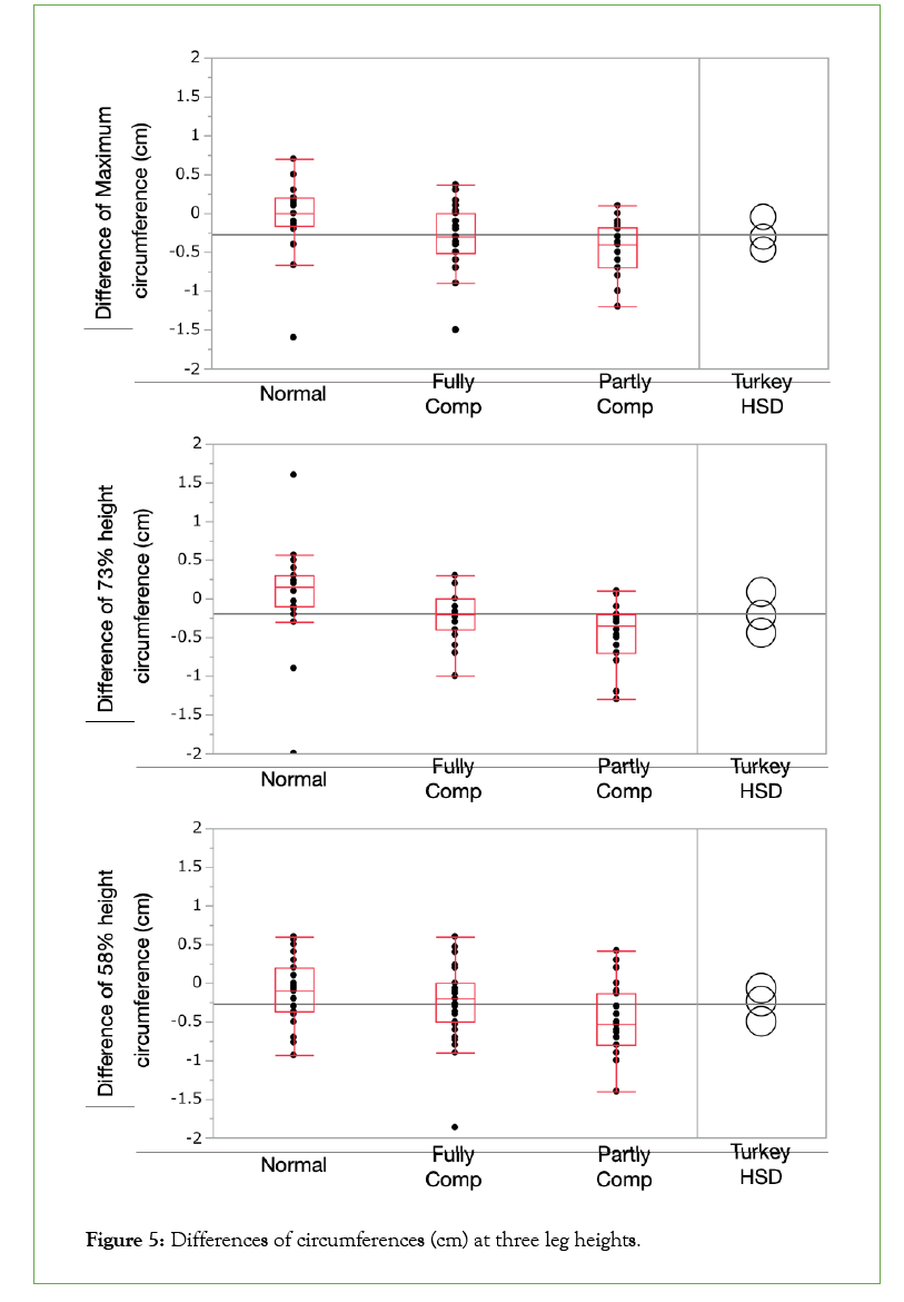
Circumferences difference in a day: Maximum circumference point; Multilevel modeling shows significant differences between socks (F(2,59.98)=16.08, p<0.0001). Circumference differences in the day align Normal>Full-comp>Partly-comp. The estimated regression parameter ai has a significant difference (p<0.05) between Normal>Partly-comp.
73% height circumference point; Multilevel modeling shows significant differences between socks (F(2,58.0)=17.82, p<0.0001). Circumference differences in the day align Normal>Full- comp>Partly-comp. The estimated regression parameter ai has a significant difference (p<0.05) between Normal>Partly-comp.
58% height circumference point; Multilevel modeling shows significant differences between socks (F(2,58.86)=10.56, p=0.0001). Circumference differences in the day align Normal>Full- comp>Partly-comp. The estimated regression parameter ai has a significant difference (p<0.05) between Normal>Partly-comp (Figure 5).
Figure 5: Differences of circumferences (cm) at three leg heights.
Experiment 3 analysis and results
18 Kansei word pairs are used for the Kansei evaluation (subjective evaluation) questionnaire.
Figure 6 shows the “Biplot”, which shows the positions of evaluation in the Kansei evaluation space. Evaluations were done in the morning and the evening of the day of wearing three kinds of socks.
Both Partly-compression socks and Fully-compression socks at morning evaluations are placed in the 10 to 11 o’clock directions. They are associated with “squeezing”, “slenderizing leg”, “feel get into shape”, “fits”, “feeling good for blood circulation,” and “lighter leg”. Full-compression socks in the morning take ten and a half o’clock, then in the evening take 11 and a half o’clock directions. This means the Kansei evaluation on the full-compression socks is not varied for morning to evening duration.Full-compression socks seem to keep participants aware of compression.
On the other hand, Partly-compression socks in the evening are located at 7 o’clock direction. That is close to “not cold” and “warm”. That movement is regarded as partly-compression socks that tend to make participants unaware of compression and body- worn feeling during the day time. This unawareness tendency is appealing for the continuous usage of compression socks.
Normal socks in the morning are located at 2 o’clock. It’s close to “comfortable to wear,” “easy to move,” and “relaxed”. Normal socks in the evening are located at 4 o’clock. There are no apparent neighboring Kansei words but loosely related to “not squeezing,” “not disturbing movements,” and “not tight.” Normal socks tend to have relations with words related to comfort (Figure 6).
Figure 6: PCA result (Biplot) of Fully/Partly compression/Normal socks evaluation in the morning/in the evening.
Population
In this study, the effectiveness of preventing leg swelling by fully- compression socks, partly-compression socks, and normal socks was compared through three measurement experiments. The first experiment involved measuring the pressure exerted by each type of sock using an air pressure sensor and a specially developed measurement device. The results showed that the partly-compression socks had the highest pressure on the posterior surface of the lower leg and the lower pressure at the ankle compared to the full- compression socks. The second experiment involved measuring the volume and circumference changes of the lower leg in the morning and the evening of the working day and found that the partly- compression socks had the smallest difference in circumference change among the three types of socks, with a significant difference between the normal and partly-compression socks at all locations. The third experiment involved Kansei, subjective evaluations of the socks. The partly-compression socks were associated with feelings of warmth in the evening, while the full-compression socks were associated with feelings of squeezing and slenderizing the leg, the same as the morning evaluation. Overall, the results of this study suggest that partly-compression socks may be more effective at improving swelling and shaping the leg than fully-compression or normal socks, while also providing a high level of comfort.
We continuously investigate blood circulation in arteries and veins of the legs to reveal the effect of socks and prevention methods for patients with difficulties with their legs.
In experiment 1, the pressure exerted by a sock was measured using an air pressure sensor with our originally developed pressure measurement device. A mannequin was fitted with socks and the actual pressure was measured.At the cuff, at 58% height, and at the ankle, socks pressure was measured.
The normal socks had the lowest pressure at all heights. Fully- compression socks have higher pressure at all heights. On the posterior surface of 58% height, the partly-compression sock had the highest pressure. Partly-compression socks had the pressure at the back about 1.4 times higher than that at the front. Compared to the full-compression socks, the ankle pressure of the partial- compression socks was smaller.
In experiment 2, volume and circumference changes of the lower leg were measured during the morning (8:00-9:00) and evening (17:00- 18:00) wearing, assuming working hours. Volume difference in the daytime has significantly differed between the socks. There was a significant difference between normal and partly-compression.
The change amount in circumference was measured at 3 locations on the lower leg; maximum circumference of the lower leg measured in the sagittal plane, circumference at the maximum diameter of the lower leg in the sagittal plane (73% of the distance from the lateral malleolus to the lower patella), the height at which the change in swelling was greatest (58% level) (Kawano et al.). At all locations, circumference difference amounts along the time are significantly different between the three socks. Partly-compression has the smallest difference, then full-compression and normal socks. There is a significant difference between normal and partial compression at all height levels.
Experiment 3 was Kansei Evaluation of socks. Both Partly- compression socks and Fully-compression socks in the morning are associated with “squeezing”, “slenderize leg”, “feel get into shape”, “fits”, “feeling good for blood circulation,” and “lighter leg.”Full- compression socks are not varied for morning to evening duration. It seems to keep participants aware of compression.
Partly-compression, socks in the evening moved close to “not cold” and “warm”. Partly-compression socks tend to make participants unaware of compression and body-worn feeling during the day time. This unawareness tendency is appealing for the continuous usage of compression socks. Normal socks in the morning and in the evening tend to have relations with words related to comfort.
[Crossref] [Google Scholar] [Pubmed]
[Crossref] [Google Scholar] [Pubmed]
[Crossref] [Google Scholar] [Pubmed]
[Crossref] [Google Scholar] [Pubmed]
[Crossref] [Google Scholar] [Pubmed]
[Crossref] [Google Scholar] [Pubmed]
[Crossref] [Google Scholar] [Pubmed]
[Crossref] [Google Scholar] [Pubmed]
[Crossref] [Google Scholar] [Pubmed]
[Crossref] [Google Scholar] [Pubmed]
[Crossref] [Google Scholar] [Pubmed]
[Crossref] [Google Scholar] [Pubmed]
[Crossref] [Google Scholar] [Pubmed]
[Crossref] [Google Scholar] [Pubmed]
Citation: Morinaga K, Ishihara S, Tarumoto S, Nakahara M, Tsuji T (2023) Comparison of Fully and Partly Compression Socks for Prevention of Leg Swelling during the Working Daytime. J Vasc Surg. 11:497.
Copyright: © 2023 Morinaga K, et al. This is an open access article distributed under the terms of the Creative Commons Attribution License, which permits unrestricted use, distribution, and reproduction in any medium, provided the original author and source are credited.